Humedad por kilogramo de aire seco
Humedad por kilogramo de aire seco
Hasta ahora, para simplificar la explicación, nos hemos referido mayormente a la cantidad de vapor de agua por metro cúbico, en un cuarto de 100 m³. Sin embargo, si estas mezclas de aire y humedad se calientan, o si se enfrían, y si son manejadas por abanicos a través de ductos, sus volúmenes variarán ampliamente.
En el acondicionamiento de aire se manejan cuartos o edificios de un volumen determinado; así que es necesario considerar las mezclas de aire y humedad, pero generalmente, es más simple determinar a partir de dichos volúmenes, los kilogramos de aire y vapor de agua que se manejarán. De allí en adelante, se sacarán los cálculos sobre la base de dichos kilogramos de aire manejados, enfriados o calentados.
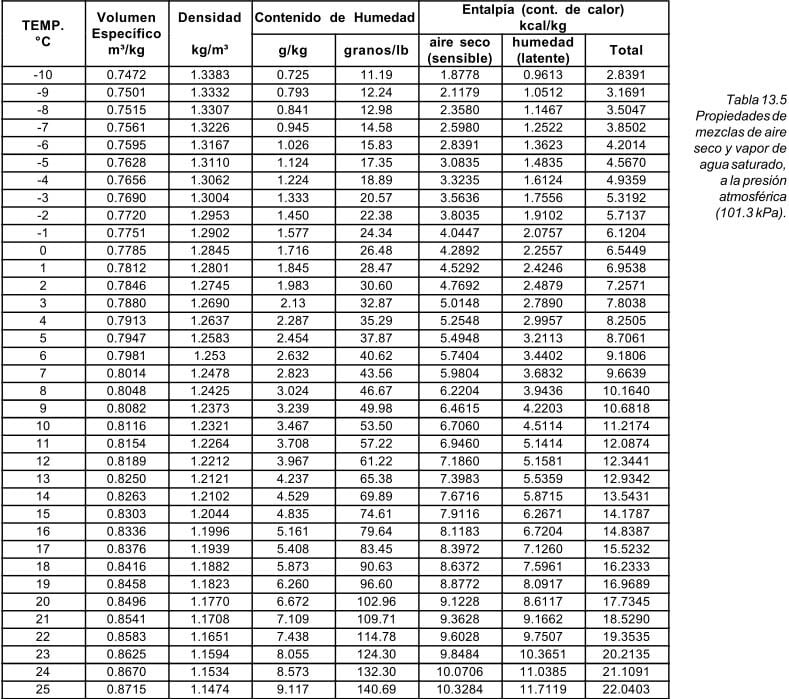
En la tabla 13.5, se muestran las propiedades de las mezclas de aire seco y vapor de agua saturado, en un rango amplio de temperaturas. Estos valores están basados en un kilogramo de aire seco saturado con humedad, a una presión total de 101.3 kPa (presión atmosférica). La primer columna corresponde, nuevamente, a la temperatura de saturación en grados centígrados. Las columnas 2 y 3 corresponden al volumen especifico en m³/kg y a la densidad en kg/m³, respectivamente, de la mezcla de aire seco y humedad.
La columna 4, muestra la cantidad de humedad por peso en gramos, que se necesita para saturar (100% de hr) el espacio ocupado por un kilogramo de aire seco, a la temperatura de la columna 1. La columna 5 es similar, pero en unidades del sistema inglés, es decir, granos de humedad requeridos para saturar el espacio ocupado por una libra de aire seco a la temperatura de la columna 1.


